Cermat Matematika Online

Faktor Bilangan 27 Adalah


Pendidikan Di Madrasah Atau Pondok
www.scribd.com

Tentukan Fpb Dan Kpk Dari 27 Dan 45 Brainly Co Id
brainly.co.id

Wednesday August 25 2010
alyaqiin10.blogspot.com

Pohon Faktor Cara Mencari Kpk Dan Fpb Youtube
www.youtube.com

Kumpulan Materi Matematika Kelipatan Dan Faktor Kelas 4 Sd
matematika3dan4.blogspot.com

Soal Soal Problem Solving Dan Pembahasannya
www.slideshare.net

Kelipatan Dan Faktor Bilangan Matematika
mandiribelajarsains.blogspot.com

Pat Matematika Kelas 7 Pages 1 4 Flip Pdf Download Fliphtml5
fliphtml5.com

Tantukan Semua Faktor Prima Dari Bilangan A 32 B 27 C 80 D 45 Brainly Co Id
brainly.co.id

Kpk Dan Fpb Dari 27 Dan 63 Pakai Pohon Faktor Brainly Co Id
brainly.co.id

Fpb Dan Kpk Arimatika
arimatika.wordpress.com

Persiapan Hkimo
id.scribd.com

Faktor Prima Dari 27 Adalah Brainly Co Id
brainly.co.id

Q L7 Ik7ipatum

2

Kumpulan Materi Matematika Kelipatan Dan Faktor Kelas 4 Sd
matematika3dan4.blogspot.com

Kelipatan Dan Faktor Bilangan
www.slideshare.net

Tentukanlah Fpb Dari 27 Dan 81 Pakai Pohon Faktor Ya Brainly Co Id
brainly.co.id

Materi Fpb Dan Kpk
id.scribd.com

Kenali Kitaran Haid Anda Search Results Blog Fertiliti Dr Natasha Nor
drnatashanorfertility.com

B08xqzaz5u5cwm

Kpk Dan Fpb Dari 27 Dan 45 Adalah Youtube
m.youtube.com

Faktor Mempengaruhi Tekanan Kerja Kajian Di Tiga Kolej Vokasional
www.slideshare.net


www.facebook.com

Faktor Bilangan Bulat Materi Matematika Kelas Vii Youtube
www.youtube.com

1 Tentukan Semua Faktor Dari Bilangan Berikut A 27b 36c 64d 120jawab Tentukan Kpk Dan Fpb Dari Brainly Co Id
brainly.co.id

Kumpulan Materi Matematika Kelipatan Dan Faktor Kelas 4 Sd
matematika3dan4.blogspot.com

Kpk Dan Fpb Dari 27 36 Dan 108 Adalah Youtube
www.youtube.com

Rangkuman Dan Soal Faktor Dan Kelipatan Belajar Dari Rumah Tvri Untuk Kelas 4 6 Sd Semua Halaman Bobo
bobo.grid.id

Cara Dan Jawaban Dari Kpk Dan Fpb Dari 27 Dan 36 Brainly Co Id
brainly.co.id

Faktor Persekutuan Dari 27 Dan 54 Adalah Brainly Co Id
brainly.co.id

Page 62 Ayo Belajar Mtk 4
ebook.banyuwangikab.go.id

Factor And Multiples Faktor Dan Kelipatan By Made Nuryadi Ppt Download
slideplayer.info

4 Kpk Dan Fpb Pdf Document
fdokumen.com

Tentukan Pohon Faktor Dari Bilangan 27 42 98 Brainly Co Id
brainly.co.id

Baju Kurung Posts Facebook
www.facebook.com

Situasi Semasa Demam Denggi Di Malaysia Noor Hisham Abdullah Facebook
www.facebook.com

Bentuk Desimal Dari 27 25 Dan 3 8
www.kompas.com

Bilangan Prima Yang Terletak Antara 20 Dan 30 Adalah Youtube
www.youtube.com

Situasi Demam Denggi Di Malaysia Bagi Cprc Kebangsaan Kementerian Kesihatan Malaysia Facebook
m.facebook.com

Faktor Perdana Pengajaran Dan Pembelajaran Matematik Tingkatan 1
mathform1.wordpress.com

Persiapan Hkimo Secondary 2
id.scribd.com

Bilangan Prima 1 100 Pengertian Rumus Contoh Soalnya
rumusbilangan.com

Vitamin A Deficiency With Conjunctival Xerosis And Bitot S Spot Semantic Scholar
www.semanticscholar.org

Materi Belajar Dari Rumah Tvri 30 Juli 2020 Sd Kelas 4 6 Halaman All Kompas Com
www.kompas.com

153 Angka Wikipedia Bahasa Indonesia Ensiklopedia Bebas
id.wikipedia.org

Kelas 6 Matematika Hardi By Yeti Herawati Issuu
issuu.com

2

Par14p2m2 Soalan Lisan 27 Pdf Parliamentary Documents
pardocs.sinarproject.org

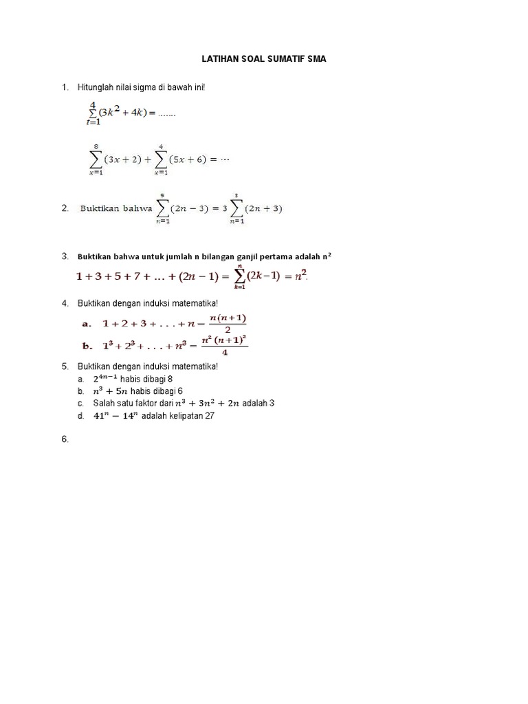
Latihan Soal Sumatif Sma Docx
www.scribd.com

Gangguan Seksual
www.slideshare.net

Kel 1 Bilangan
www.slideshare.net

Kelas 4 Matematika Suparti By Yeti Herawati Issuu
issuu.com

Fpb Dan Kpk Dari 35 Dan 63 Adalah Youtube
www.youtube.com

Kelipatan Dan Faktor Bilangan
www.slideshare.net

Teori Bilangan
www.slideshare.net

Kenyataan Akhbar Kpk 3 Mei 2020 Situasi Semasa Jangkitan Penyakit Coronavirus 2019 Covid 19 Di Malaysia From The Desk Of The Director General Of Health Malaysia
kpkesihatan.com

153 Angka Wikipedia Bahasa Indonesia Ensiklopedia Bebas
id.wikipedia.org

Cara Fpb Dari 27 Dan 56 Adalah Tolong Pake Pohon Faktor Brainly Co Id
brainly.co.id

Kelas 5 Gemar Belajar Matematika Aep By Yeti Herawati Issuu
issuu.com

Faktor Prima Dari 45 Dan 60 Adalah Youtube
m.youtube.com

Menentukan Kpk Dan Fpb Dari 27 Dan 36 Youtube
m.youtube.com

Ujian Psikometrik Spa 2020 Contoh Soalan Online Semua Jawatan
upnd.com.my

Mau Kelipatan Dan Faktor Ficha Interactiva
es.liveworksheets.com

Kelas 5 Gemar Matematika Sumanto By Yeti Herawati Issuu
issuu.com

Faktor Persekutuan Terbesar Dari 27 Dan 42 Brainly Co Id
brainly.co.id

Kelas 4 Matematika Hardi By Yeti Herawati Issuu
issuu.com

Berapakah Fpb Dari 27 63 Dan 81 Brainly Co Id
brainly.co.id

Modul Matematika Minat X Flipbook By Rozaqnasima Fliphtml5
fliphtml5.com

Dasar Dasar Rekayasa Transportasi Pages 51 100 Flip Pdf Download Fliphtml5
fliphtml5.com

Kpk Dan Fpb Dari 27 Dan 45 Youtube
www.youtube.com

Kelas 4 Matematika Suparti By Yeti Herawati Issuu
issuu.com

Matematik Tingkatan 1 Cutted2 Pages 1 16 Text Version Anyflip
anyflip.com

Faktor Dan Kelipatan Bilangan Matematika Lengkap
pendidikanmu.com

4 Kpk Dan Fpb Pdf Document
fdokumen.com

Pembahasan Soal Soal Tryout Matematika Sd Mi Th 2016 2017 Part 2 Bale Belajar Matematika
fatma19.wordpress.com

2

Kelas 4 Matematika Hardi By Yeti Herawati Issuu
issuu.com

Matematika
www.slideshare.net

Materi Belajar Dari Rumah Tvri 30 Juli 2020 Sd Kelas 4 6 Halaman All Kompas Com
www.kompas.com

Soal Ulangan Harian Matematika Kelas 4 Sd Kelipatan Dan Faktor Antapedia Com
www.antapedia.com

Teori Bilangan
www.slideshare.net

Kajian Penyelidikan Internet
www.slideshare.net

Tips
id.scribd.com

Cara Mencari Akar Pangkat 3 Suatu Bilangan Kubik Dengan Faktorisasi Prima Pohon Faktor Website Pendidikan
www.websitependidikan.com

Abstrak Tujuan Penelitian Ini Adalah Menganalisis Faktor Faktor Yang Mempengaruhi Produksi Ikan Patin Menganalisis Skala Ekonomis Usaha Budidaya Ikan Patin Dan Menganalisis Efisiensi Ekonomis Usaha Budidaya Ikan Patin Dengan Menggunakan Pakan Lokal Di
www.semanticscholar.org

Materi Belajar Dari Rumah Tvri 30 Juli 2020 Sd Kelas 4 6 Halaman All Kompas Com
www.kompas.com

Bilangan Prima Pengertian Contoh Dan Soal
rumuspintar.com

Kelas 6 Matematika Supardjo By Yeti Herawati Issuu
issuu.com

Kelipatan Dan Faktor Bilangan
www.slideshare.net

Modul 2 Keterbagian Bilangan Bulat
www.slideshare.net

Bilangan Prima Dan Faktor Prima Youtube
www.youtube.com

Kelipatan Dan Faktor Kelipatan Suatu Bilangan Youtube
www.youtube.com

Fpb Dari 27 Dan 36 Menggunakan Pohon Faktor Brainly Co Id
brainly.co.id

6 Cara Untuk Menyederhanakan Ekspresi Akar Wikihow
id.wikihow.com

Soal Ulangan Harian Matematika Kelas 4 Sd Kelipatan Dan Faktor Antapedia Com
www.antapedia.com

Matematika
www.slideshare.net

Kelas 4 Ayo Belajar Matematika Burhan By Yeti Herawati Issuu
issuu.com

Rangkuman Materi Gemar Matematika Faktor Dan Kelipatan Bilangan Sd Di Tvri
oriflameid.com

Kpk 27 36 108 Pakai Pohon Faktor Tolong Jawab Brainly Co Id
brainly.co.id

close